장위지역아동센터밀알학교 서울특별시 성북구 돌곶이로 157 장위동 한전빌딩 4층 02-916-3004

이용시간 학기중 : 11:00 ~ 22:00
방학중 : 10:00 ~ 22:00
토요일 : 00:00 ~ 00:00
장위지역아동센터밀알학교에 오신 걸 환영합니다!

공지/뉴스

지역아동센터의 다양한 뉴스와 소식을 알려드립니다.

2026년 사업계획서 및 예산서 공고-장위밀알

  • 작성자  장위지역아동센터밀알학교
  • 날짜  2025-12-25 22:57
  • 조회수  140

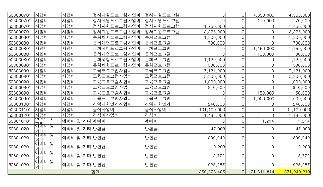
▣ 2026년도 장위지역아동센터밀알학교 사업계획서 및 예산 공고

> 사회복지법인 및 사회복지시설 재무ㆍ회계규칙에 의거 2025년도 장위지역아동센터밀알학교 사업계획서 및 예산을 공고합니다.

□ 공고기간 : 2025년12월25일 -2026년1월 14일(총 20일간)

□ 공고내용 : 2026년 사업계획서 , 예산 세입 및 세출





장위지역아동센터밀알학교 | 서울특별시 성북구 돌곶이로 157 장위동 한전빌딩 4층 [지도보기]    Tel : 02-916-3004  Fax : 02-909-0191  E-mail : jg0191@naver.com